循环水系统智能控制下的经济性分析
我国在过去几十年的循环冷却水管理过程中,受限于自动化水平的缓慢进步,人们只能采取人工加药、人工检测、人工控制(调整)的模式,也有很大一部分管理者认为,循环水管理需要较高的专业知识积累,人比机器可靠,所以抗拒使用智能化设备管理。但是以我多年的从业经验以及调查发现,正是因为管理者专业知识以及责任心方面的差异,不同的现场管理状况,会导致循环水系统出现截然不同的结果。不同的结果主要体现在清洗频率、耗水率以及换热器更换频率方面。
河南水云踪智控科技有限公司成立以来,始终以将工业机器人技术应用到工业循环水处理系统,利用传感器大幅缩短水质指标和药剂浓度检测时间,为客户提供全过程智能化、标准化管理服务为遵旨。彻底颠覆和改写传统循环冷却水系统控制处理和人工操作管理的历史。
水云踪系列产品推出上市以来,在水云踪人不断努力下,推陈出新,已经逐步实现了浊度、pH、ORP、电导率、药剂浓度、氯离子、碱度、硬度、腐蚀速率、余氯等项目的在线检测,公司产品以检测数据准确,服务质量上乘收获了一大批忠实粉丝。但是,很多客户仅仅享受它带来的检测方面的便捷,往往忽视了他的控制功能(加药、加酸、排污),而这三大控制功能,不仅仅是节省人力,在安全和经济效益方面,也值得一提。
本文将以我公司一个“只监不控”的案例,在监测的过程中,发现人工的随意性和宽边界操作。同时分析了如果能自动控制排污,会给用户带来的效益。
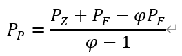
如果冷却水系统的运行条件一定,那么蒸发损失量和吹散损失量就是定值,通过调整排污量可以控制循环冷却系统的浓缩倍率。
PP—排污损失率%
PZ—蒸发损失率%
PF—吹散及泄露损失率%
φ—冷却水系统浓缩倍率
由公式计算出的补充水量、排污水量和浓缩倍率的关系,如图所示。
开式循环冷却系统中浓缩倍率与补充水量和排污量的关系
从图中可看出,提高冷却水的浓缩倍率,可大幅度减少排污量和补充水量,也意味着减少药剂用量。从图中还可看出,随着浓缩倍率的提高,补充水量明显降低,但当浓缩倍率超过5时,补充水量的减少已不显著。此外,过高的浓缩倍率,严重恶化了循环水质,容易发生各种故障,大大增加了处理费用。各种水质稳定药剂的效果与持续时间有关,过高的浓缩倍率,使药剂在冷却系统中的停留时间超过其药龄,将降低处理效果。上述情况说明,需要选定合适的浓缩倍率。一般开式循环冷却系统的浓缩倍率应控制在5左右,多采用4~6。减少循环冷却系统排污,提高浓缩倍率,可取得良好的节水效果。
现就某资深水处理公司二循来分析。
运行数据图
已知该系统循环水量6500m³/h,设PZ=1.2%,PF=0.1%(PF=0.5%,加捕水器后可节水80%)。由运行数据显示,该系统最低浓缩倍率为2.0,最高为4.0,波动范围比较大。浓缩倍率与节水关系的计算结果列于下表中。
浓缩倍率对补充水率和药剂耗量的影响见下表。从表中可看出,随着浓缩倍率的提高,药剂的消耗量也显著降低。
由数据可知:系统浓缩4倍比浓缩2倍要节水52m3/h。一天就能节约用水1248吨。按照年运行8000小时计,能节水416000吨水,每吨水按3元计算,年节约费用1248000元。
由数据可知:系统浓缩4倍比浓缩2倍节约药剂3.9kg/h。一天就能节约药剂93.6 kg。按照年运行8000小时计,能节约药剂31200kg,节约的费用不是少数。
采用水云踪智能在线监测控制设备,能根据现场实际负荷、电导率、氧化还原电位(ORP)、pH值等检测数据,控制加药、加酸计量泵及次氯酸钠的投加。有效地保持水中药剂的浓度,保持浓缩倍数平稳恒定,有助于实现安全生产和节水减排,其控制功能如下:
(1)在线监控系统电导率,并根椐检测数据,控制电动排污阀的开启和关闭。
(2)在线监控系统ORP,及时调整控制杀菌剂的投加量,控制水中的菌藻及生物粘泥,实现氧化性杀菌剂的自动投加。
(3)在线监控系统pH值,根据检测数据自动调整加酸量。
(4)在线检测循环冷却水的浊度,为现场技术人员、实验室化验人员提供可靠的参考数据。
(5)根据荧光值信号,对加药泵进行间歇或连续加药控制,保证药剂在循环冷却水中的浓度达到基本稳定的水平。
(6)根据设定值实现异常情况的及时报警处理等。



